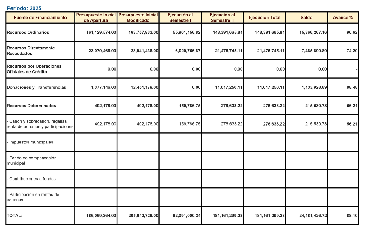
| Fuente de Financiamiento | Presupuesto Inicial de Apertura | Presupuesto Inicial Modificado | Ejecución al Semestre I | Ejecución al Semestre II | Ejecución Total | Saldo | Avance % |
| Recursos Ordinarios | 128,057,207.00 | 126,213,132.00 | 41,925,657.71 | 111,667,297.15 | 111,667,297.15 | 14,545,834.85 | 88.48 |
| Recursos Directamente Recaudados | 8,565,009.00 | 19,650,196.00 | 3,673,662.07 | 15,680,516.04 | 15,680,516.04 | 3,969,679.96 | 79.80 |
| Recursos por Operaciones Oficiales de Crédito | 0.00 | 0.00 | 0.00 | 0.00 | 0.00 | 0.00 | – |
| Donaciones y Transferencias | 0.00 | 0.00 | 0.00 | 0.00 | 0.00 | 0.00 | – |
| Recursos Determinados | 531,346.00 | 531,346.00 | 192,904.04 | 353,959.47 | 353,959.47 | 177,386.53 | 66.62 |
| – Canon y sobrecanon, regalías, renta de aduanas y participaciones | 531,346.00 | 531,346.00 | 192,904.04 | 353,959.47 | 353,959.47 | 177,386.53 | 66.62 |
| – Impuestos municipales | |||||||
| – Fondo de compensación municipal | |||||||
| – Contribuciones a fondos | |||||||
| – Participación en rentas de aduanas | |||||||
| TOTAL: | 137,153,562.00 | 146,394,674.00 | 45,792,223.82 | 127,701,772.66 | 127,701,772.66 | 18,692,901.34 | 87.23 |
| Fuente de Financiamiento | Presupuesto Inicial de Apertura | Presupuesto Inicial Modificado | Ejecución al Semestre I | Ejecución al Semestre II | Ejecución Total | Saldo | Avance % |
| Recursos Ordinarios | 128,057,207.00 | 130,530,961.00 | 41,925,657.71 | 41,925,657.71 | 88,605,303.29 | 32.12 | |
| Recursos Directamente Recaudados | 8,565,009.00 | 14,565,009.00 | 3,673,662.07 | 3,673,662.07 | 10,891,346.93 | 25.22 | |
| Recursos por Operaciones Oficiales de Crédito | 0.00 | 0.00 | 0.00 | 0.00 | 0.00 | 0.00 | – |
| Donaciones y Transferencias | 0.00 | 0.00 | 0.00 | 0.00 | 0.00 | 0.00 | – |
| Recursos Determinados | 531,346.00 | 531,346.00 | 192,904.04 | 0.00 | 192,904.04 | 338,441.96 | 36.30 |
| – Canon y sobrecanon, regalías, renta de aduanas y participaciones | 531,346.00 | 531,346.00 | 192,904.04 | 192,904.04 | 338,441.96 | 36.30 | |
| – Impuestos municipales | |||||||
| – Fondo de compensación municipal | |||||||
| – Contribuciones a fondos | |||||||
| – Participación en rentas de aduanas | |||||||
| TOTAL: | 137,153,562.00 | 145,627,316.00 | 45,792,223.82 | 0.00 | 45,792,223.82 | 99,835,092.18 | 31.44 |
| Fuente de Financiamiento | Presupuesto Inicial de Apertura | Presupuesto Inicial Modificado | Ejecución al Semestre I | Ejecución al Semestre II | Ejecución Total | Saldo | Avance % |
| Recursos Ordinarios | 124,313,287.00 | 121,813,363.00 | 121,813,363.00 | 107,890,734.21 | 107,890,734.21 | 13,922,628.79 | 88.57 |
| Recursos Directamente Recaudados | 8,143,815.00 | 21,185,211.00 | 6,431,153.79 | 17,394,796.45 | 17,394,796.45 | 3,790,414.55 | 82.11 |
| Recursos por Operaciones Oficiales de Crédito | 0.00 | 0.00 | 0.00 | 0.00 | 0.00 | 0.00 | — |
| Donaciones y Transferencias | 0.00 | 2,290,559.00 | 0.00 | 22,781.06 | 22,781.06 | 2,267,777.94 | 0.99 |
| Recursos Determinados | 660,848.00 | 523,222.00 | 81,060.70 | 329,550.92 | 329,550.92 | 193,671.08 | 62.98 |
| – Canon y sobrecanon, regalías, renta de aduanas y participaciones | 660,848.00 | 523,222.00 | 81,060.70 | 329,550.92 | 329,550.92 | 193,671.08 | 62.98 |
| – Impuestos municipales | |||||||
| – Fondo de compensación municipal | |||||||
| – Contribuciones a fondos | |||||||
| – Participación en rentas de aduanas | |||||||
| TOTAL: | 133,117,950.00 | 145,812,355.00 | 46,689,481.80 | 125,637,862.64 | 125,637,862.64 | 20,174,492.36 | 86.16 |
| Fuente de Financiamiento | Presupuesto Inicial de Apertura | Presupuesto Inicial Modificado | Ejecución al Semestre I | Ejecución al Semestre II | Ejecución Total | Saldo | Avance % |
| Recursos Ordinarios | 124,313,287.00 | 126,946,723.00 | 40,177,267.31 | 0.00 | 126,946,723.00 | 31.65 | |
| Recursos Directamente Recaudados | 8,143,815.00 | 11,310,763.00 | 6,431,153.79 | 0.00 | 11,310,763.00 | 56.86 | |
| Recursos por Operaciones Oficiales de Crédito | 0.00 | 0.00 | 0.00 | 0.00 | 0.00 | – | |
| Donaciones y Transferencias | 0.00 | 2,290,559.00 | 0.00 | 0.00 | 2,290,559.00 | 0.00 | |
| Recursos Determinados | 660,848.00 | 523,222.00 | 81,060.70 | 0.00 | 0.00 | 523,222.00 | 15.49 |
| – Canon y sobrecanon, regalías, renta de aduanas y participaciones | 660,848.00 | 523,222.00 | 81,060.70 | 0.00 | 523,222.00 | 15.49 | |
| – Impuestos municipales | |||||||
| – Fondo de compensación municipal | |||||||
| – Contribuciones a fondos | |||||||
| – Participación en rentas de aduanas | |||||||
| TOTAL: | 133,117,950.00 | 141,071,267.00 | 46,689,481.80 | 0.00 | 0.00 | 141,071,267.00 | 33.10 |
AL SEGUNDO SEMESTRE
AL PRIMER SEMESTRE |
||||||||||||||||||||||||||||||||||||||||||||||||||||||||||||||||||||||||||||||||||||||||||||||||||||||
| Fuente de Financiamiento | Presupuesto Inicial de Apertura | Presupuesto Inicial Modificado | Ejecución al Semestre I | Ejecución Total | Saldo | Avance % | ||||||||||||||||||||||||||||||||||||||||||||||||||||||||||||||||||||||||||||||||||||||||||||||||
| Recursos Ordinarios | 92,458,444 | 94,853,668 | 32,765,216.98 | 32,765,216.98 | 62,088,451.02 | 34.54 | ||||||||||||||||||||||||||||||||||||||||||||||||||||||||||||||||||||||||||||||||||||||||||||||||
| Recursos Directamente Recaudados | 14,407,678 | 14,989,423 | 2,363,755.19 | 2,363,755.19 | 12,625,667.81 | 15.77 | ||||||||||||||||||||||||||||||||||||||||||||||||||||||||||||||||||||||||||||||||||||||||||||||||
| Recursos por Operaciones Oficiales de Crédito | 2,610,000 | 2,610,000 | 0.00 | 2,610,000.00 | 0.00 | |||||||||||||||||||||||||||||||||||||||||||||||||||||||||||||||||||||||||||||||||||||||||||||||||
| Donaciones y Transferencias | 2,323,463 | 0.00 | 2,323,463.00 | 0.00 | ||||||||||||||||||||||||||||||||||||||||||||||||||||||||||||||||||||||||||||||||||||||||||||||||||
| Recursos Determinados | 394,584 | 394,584 | 111,227.46 | 111,227.46 | 283,356.54 | 28.19 | ||||||||||||||||||||||||||||||||||||||||||||||||||||||||||||||||||||||||||||||||||||||||||||||||
| – Canon y sobrecanon, regalías, renta de aduanas y participaciones | 394,584 | 394,584 | 111,227.46 | 111,227.46 | 283,356.54 | 0.00 | ||||||||||||||||||||||||||||||||||||||||||||||||||||||||||||||||||||||||||||||||||||||||||||||||
| – Impuestos municipales | ||||||||||||||||||||||||||||||||||||||||||||||||||||||||||||||||||||||||||||||||||||||||||||||||||||||
| – Fondo de compensación municipal | ||||||||||||||||||||||||||||||||||||||||||||||||||||||||||||||||||||||||||||||||||||||||||||||||||||||
| – Contribuciones a fondos | ||||||||||||||||||||||||||||||||||||||||||||||||||||||||||||||||||||||||||||||||||||||||||||||||||||||
| – Participación en rentas de aduanas | ||||||||||||||||||||||||||||||||||||||||||||||||||||||||||||||||||||||||||||||||||||||||||||||||||||||
| TOTAL: | 109,870,706.00 | 115,171,138.00 | 35,240,199.63 | 35,240,199.63 | 79,930,938.37 | 30.60 | ||||||||||||||||||||||||||||||||||||||||||||||||||||||||||||||||||||||||||||||||||||||||||||||||
|
Fuentes de Finaciamiento |
Presupuesto Inicial de Apertura |
Presupuesto Inicial Modificado |
Ejecución al Semestre I |
Ejecución al Semestre II |
Ejecución Total |
Saldo |
Avance % |
AL SEGUNDO SEMESTRE |
|||||||
|
Recursos Ordinarios |
96.516.231,00 |
98.800.597,00 |
28.902.105,97 |
82.111.934,68 |
82.111.934,68 |
16.688.662,32 |
83,11 |
|
Recursos Directamente Recaudados |
16.720.321,00 |
17.366.704,00 |
1.932.235,58 |
11.472.066,76 |
11.472.066,76 |
5.894.637,24 |
66,06 |
|
Recursos por Operaciones Oficiales de Crédito |
367.200,00 |
367.200,00 |
367.200,00 |
0,00 |
100,00 |
||
|
Donaciones y Transferencias |
0.00 |
148.980,00 |
0,00 |
17.619,04 |
17.619,04 |
131.360,96 |
11,83 |
|
Recursos Determinados |
388.736,00 |
388.736,00 |
28.000,00 |
28.000,00 |
28.000,00 |
360.736,00 |
7,20 |
|
– Canon y sobrecanon, regalías, renta de aduanas y participaciones |
388,736.00 |
388,736.00 |
28,000.00 |
0.00 |
0.00 |
388,736.00 |
7.20 |
|
– Impuestos municipales |
|||||||
|
– Fondo de compensación municipal |
|||||||
|
– Contribuciones a fondos |
|||||||
|
– Participación en rentas de aduanas |
|||||||
|
TOTAL: |
113.625.288,00 |
117.072.217,00 |
30.862.341,55 |
93.996.820,48 |
93.996.820,48 |
23.075.396,52 |
80,29 |
|
Fuentes de Finaciamiento |
Presupuesto Inicial de Apertura |
Presupuesto Inicial Modificado |
Ejecución al Semestre I |
Ejecución al Semestre II |
Ejecución Total |
Saldo |
Avance % |
AL PRIMER SEMESTRE |
|||||||
|
Recursos Ordinarios |
96,516,231.00 |
97,965,316.00 |
28,902,105.97 |
0.00 |
97,965,316.00 |
29.50 |
|
|
Recursos Directamente Recaudados |
16,720,321.00 |
17,366,704.00 |
1,932,235.58 |
0.00 |
17,366,704.00 |
11.13 |
|
|
Recursos por Operaciones Oficiales de Crédito |
|||||||
|
Donaciones y Transferencias |
0.00 |
148,980.00 |
0.00 |
0.00 |
0.00 |
148,980.00 |
0.00 |
|
Recursos Determinados |
388,736.00 |
388,736.00 |
28,000.00 |
0.00 |
0.00 |
388,736.00 |
7.20 |
|
– Canon y sobrecanon, regalías, renta de aduanas y participaciones |
388,736.00 |
388,736.00 |
28,000.00 |
0.00 |
0.00 |
388,736.00 |
7.20 |
|
– Impuestos municipales |
|||||||
|
– Fondo de compensación municipal |
|||||||
|
– Contribuciones a fondos |
|||||||
|
– Participación en rentas de aduanas |
|||||||
|
TOTAL: |
113,625,288.00 |
115,869,736.00 |
30,862,341.55 |
0.00 |
0.00 |
115,869,736.00 |
26.64 |
|
Fuentes de Finaciamiento |
Presupuesto Inicial de Apertura |
Presupuesto Inicial Modificado |
Ejecución al Semestre I |
Ejecución al Semestre II |
Ejecución Total |
Saldo |
Avance % |
| AL SEGUNDO SEMESTRE | |||||||
|
Recursos Ordinarios |
94,718,115.00 |
101,505,085.00 |
34,5021,348.45 |
52,626,057.11r |
52,626,057.11 |
48,879,027.89 |
51.85 |
|
Recursos Directamente Recaudados |
21,902,378.00 |
21,902,378.00 |
9,363,604.97 |
14,670,207.27 |
14,670,207.27 |
7,232,170.73 |
66.98 |
|
Recursos por Operaciones Oficilaes de Crédito |
|||||||
|
Donaciones y Transferencias |
1,553,726.00 |
6,119,356.00 |
0.00 |
19,065.00 |
19,065.00 |
6,100,291.00 |
0.31 |
|
Recursos Determinados |
669,824.00 |
669,824.00 |
84,884.04 |
88,021.98 |
88,021.98 |
581,802.02 |
13.14 |
|
Canon y Sobrecanon, Regalias, Renta de Aduanas y Participaciones |
669,824.00 |
669,824.00 |
84.884.04 |
88,021.98 |
88,021.98 |
581,802.02 |
13.14 |
|
Impuestos Municipales |
|||||||
|
Fondos de Compensación Municipal |
|||||||
|
Contribuciones a Fondos |
|||||||
|
Participación en Rentas de Aduanas |
|||||||
|
TOTAL |
118,844,043.00 |
130,196,643.00 |
43,950,837.46 |
67,403,351,36 |
67,403,351.36 |
62,793,291.64 |
51.77 |
Fuentes de Finaciamiento |
Presupuesto Inicial de Apertura |
Presupuesto Inicial Modificado |
Ejecución al Semestre I |
Ejecución al Semestre II |
Ejecución Total |
Saldo |
Avance % |
| AL PRIMER SEMESTRE | |||||||
Recursos Ordinarios |
94,718,115.00 |
101,505,085.00 |
34,502,348.45 |
34,502,348.45 |
67,002,736.55 |
33.99 |
|
Recursos Directamente Recaudados |
21,902,378.00 |
21,902,378.00 |
9,363,604.97 |
9,363,604.97 |
12,538,773.03 |
42.75 |
|
Recursos por Operaciones Oficilaes de Crédito |
|||||||
Donaciones y Transferencias |
1,553,726.00 |
3,479,668.00 |
0.00 |
0.00 |
3,479,668.00 |
0.00 |
|
Recursos Determinados |
669,824.00 |
669,824.00 |
84,884.04 |
00 |
84,884.04 |
584,939.96 |
12.67 |
Canon y Sobrecanon, Regalias, Renta de Aduanas y Participaciones |
669,824.00 |
669,824.00 |
84,884.04 |
84,884.04 |
584,939.96 |
12.67 |
|
Impuestos Municipales |
|||||||
Fondos de Compensación Municipal |
|||||||
Contribuciones a Fondos |
|||||||
Participación en Rentas de Aduanas |
|||||||
TOTAL |
118,884,043.00 |
127,556,955.00 |
43,950,837.00 |
0.00 |
43,950,837.46 |
83,606,117.54 |
34.46 |
|
Fuentes de Finaciamiento |
Presupuesto Inicial de Apertura |
Presupuesto Inicial Modificado |
Ejecución al Semestre I |
Ejecución al Semestre II |
Ejecución Total |
Saldo |
Avance % |
|
Recursos Ordinarios |
70,700,306.00 |
90,233,813.00 |
29,084,490.48 |
81,989,498.21 |
81,989,498.21 |
8,244,314.79 |
90.86 |
|
Recursos Directamente Recaudados |
24,756,895.00 |
19,976,895.00 |
5,344,036.56 |
17,639,709.98 |
5,344,036.56 |
14,632,858.44 |
26.75 |
|
Recursos por Operaciones Oficilaes de Crédito |
|||||||
|
Donaciones y Transferencias |
0.00 |
4,850,491.00 |
20,776.13 |
2,924,300.20 |
2,924,300.20 |
1,925,190.80 |
60.29 |
|
Recursos Determinados |
97,387.00 |
696,267.00 |
0.00 |
451,088.00 |
451,088.00 |
245,179.00 |
64.79 |
|
Canon y Sobrecanon, Regalias, Renta de Aduanas y Participaciones |
97,387.00 |
696,267.00 |
0.00 |
451,088.00 |
451,088.00 |
245,179.00 |
64.79 |
|
Impuestos Municipales |
|||||||
|
Fondos de Compensación Municipal |
|||||||
|
Contribuciones a Fondos |
|||||||
|
Participación en Rentas de Aduanas |
|||||||
|
TOTAL |
95,554,588.00 |
115,757,466.00 |
34,449,303.17 |
103,004,596.39 |
103,004,596.39 |
12,752,869.61 |
88.98 |
Fuentes de Finaciamiento |
Presupuesto Inicial de Apertura |
Presupuesto Inicial Modificado |
Ejecución al Semestre I |
Ejecución al Semestre II |
Ejecución Total |
Saldo |
Avance % |
Recursos Ordinarios |
64,911,000.00 |
78,674,591.00 |
27,841,638.35 |
73,775,820.20 |
73,775,820.20 |
4,898,770.80 |
93.77 |
Recursos Directamente Recaudados |
23,650,820.00 |
20,867,266.00 |
5,567,573.09 |
15,787,027.96 |
15,787,027.96 |
5,080,238.04 |
75.65 |
Recursos por Operaciones Oficilaes de Crédito |
|||||||
Donaciones y Transferencias |
0.00 |
327,935.00 |
0.00 |
137,261.80 |
137,261.80 |
190,673.20 |
41.86 |
Recursos Determinados |
98,443.00 |
593,823.00 |
0.00 |
0.00 |
0.00 |
593,823.00 |
0.00 |
Canon y Sobrecanon, Regalias, Renta de Aduanas y Participaciones |
98,433.00 |
593,823.00 |
0.00 |
0.00 |
0.00 |
593,823.00 |
0.00 |
Impuestos Municipales |
|||||||
Fondos de Compensación Municipal |
|||||||
Contribuciones a Fondos |
|||||||
Participación en Rentas de Aduanas |
|||||||
TOTAL |
88,660,253.00 |
100,463,615.00 |
33,409,211.44 |
89,700,109.96 |
89,700,109.96 |
10,763,505.04 |
89.29 |
|
Fuentes de Finaciamiento |
Presupuesto Inicial de Apertura |
Presupuesto Inicial Modificado |
Ejecución al Semestre I |
Ejecución al Semestre II |
Ejecución Total |
Saldo |
Avance % |
|
Recursos Ordinarios |
64,517,412.00 |
72,252,304.00 |
23,867,616.26 |
64,442,644.19 |
64,442,644.19 |
7,809,659.81 |
89.19 |
|
Recursos Directamente Recaudados |
23,650,820.00 |
30,423,419.00 |
5,660,550.03 |
20,781,776.47 |
20,781,776.47 |
9,641,642.53 |
68.31 |
|
Recursos por Operaciones Oficilaes de Crédito |
|||||||
|
Donaciones y Transferencias |
0.00 |
315.00 |
0.00 |
0.00 |
0.00 |
315.00 |
0.00 |
|
Recursos Determinados |
96,494.00 |
508,335.00 |
446,243.00 |
0.00 |
0.00 |
508,335.00 |
0.00 |
|
Canon y Sobrecanon, Regalias, Renta de Aduanas y Participaciones |
96,494.00 |
508,335.00 |
0.00 |
0.00 |
0.00 |
508,335.00 |
0.00 |
|
Impuestos Municipales |
|||||||
|
Fondos de Compensación Municipal |
|||||||
|
Contribuciones a Fondos |
|||||||
|
Participación en Rentas de Aduanas |
|||||||
|
TOTAL |
88,264,726.00 |
103,184,373.00 |
29,974,409.29 |
85,224,420.66 |
85,224,420.66 |
17,959,952.34 |
82.59 |
|
Fuentes de Finaciamiento |
Presupuesto Inicial de Apertura |
Presupuesto Inicial Modificado |
Ejecución al Semestre I |
Ejecución al Semestre II |
Ejecución Total |
Saldo |
Avance % |
|
Recursos Ordinarios |
71,303,619.00 |
71,395,059.00 |
23,738,275.89 |
66,462,827.66 |
66,462,827.66 |
4,932,231.34 |
93.09 |
|
Recursos Directamente Recaudados |
22,520,320.00 |
25,781,270.00 |
5,618,764.18 |
16,403,003.10 |
16,403,003.10 |
9,378,266.90 |
63.62 |
|
Recursos por Operaciones Oficilaes de Crédito |
|||||||
|
Donaciones y Transferencias |
0.00 |
315.00 |
0.00 |
0.00 |
0.00 |
315.00 |
0.00 |
|
Recursos Determinados |
93,370.00 |
340,128.00 |
0.00 |
0.00 |
0.00 |
340,128.00 |
0.00 |
|
Canon y Sobrecanon, Regalias, Renta de Aduanas y Participaciones |
93,370.00 |
340,128.00 |
0.00 |
0.00 |
0.00 |
340,128.00 |
0.00 |
|
Impuestos Municipales |
|||||||
|
Fondos de Compensación Municipal |
|||||||
|
Contribuciones a Fondos |
|||||||
|
Participación en Rentas de Aduanas |
|||||||
|
TOTAL |
93,917,309.00 |
97,516,772.00 |
29,357,040.07 |
82,865,830.76 |
82,865,830.76 |
14,650,941.24 |
84.98 |
Fuentes de Finaciamiento |
Presupuesto Inicial de Apertura |
Presupuesto Inicial Modificado |
Ejecución al Semestre I |
Ejecución al Semestre II |
Ejecución Total |
Saldo |
Avance % |
Recursos Ordinarios |
58,590,436.00 |
68,897,594.00 |
22,966,367.75 |
68,077,551.16 |
68,077,551.16 |
820,042.84 |
98.81 |
Recursos Directamente Recaudados |
20,470,620.00 |
23,530,633.00 |
5,674,580.42 |
13,732,542.98 |
13,732,542.98 |
9,798,090.02 |
58.36 |
Recursos por Operaciones Oficilaes de Crédito |
|||||||
Donaciones y Transferencias |
0.00 |
1,865.00 |
0.00 |
1,550.00 |
1,550.00 |
315.00 |
83.11 |
Recursos Determinados |
97,496.00 |
284,836.00 |
0.00 |
37,777.50 |
37.777.50 |
247,058.50 |
13.26 |
Canon y Sobrecanon, Regalias, Renta de Aduanas y Participaciones |
97,496.00 |
284,836.00 |
0.00 |
37,777.50 |
37,777.50 |
247,058.50 |
13.26 |
Impuestos Municipales |
|||||||
Fondos de Compensación Municipal |
|||||||
Contribuciones a Fondos |
|||||||
Participación en Rentas de Aduanas |
|||||||
TOTAL |
79,158,552.00 |
92,714,928.00 |
28,640,948.17 |
81,849,421.64 |
81,849,421.64 |
10,865,506.36 |
888.28 |
| Fuente de Financiamiento | Presupuesto Inicial de Apertura | Presupuesto Inicial Modificado | Ejecución al Semestre I | Ejecución al Semestre II | Ejecución Total | Saldo | Avance % |
| Recursos Ordinarios | 66,545,441.00 | 68,241,041.00 | 23,319,745.88 | 52,546,219.88 | 52,546,219.88 | 15,694,821.12 | 77.00 |
| Recursos Directamente Recaudados | 22,116,888.00 | 25,995,324.00 | 4,898,772.88 | 14,551,431.37 | 14,551,431.37 | 11,443,892.63 | 55.98 |
| Recursos por Operaciones Oficiales de Crédito | 0.00 | 0.00 | 0.00 | 0.00 | 0.00 | 0.00 | 0.00 |
| Donaciones y Transferencias | 0.00 | 1,865.00 | 0.00 | 0.00 | 0.00 | 1,865.00 | 0.00 |
| Recursos Determinados | 113,617.00 | 215,137.00 | 0.00 | 0.00 | 0.00 | 215,137.00 | 0.00 |
| – Canon y sobrecanon, regalías, renta de aduanas y participaciones | 113,617.00 | 215,137.00 | 0.00 | 0.00 | 0.00 | 215,137.00 | 0.00 |
| – Impuestos municipales | |||||||
| – Fondo de compensación municipal | |||||||
| – Contribuciones a fondos | |||||||
| – Participación en rentas de aduanas | |||||||
| TOTAL: | 88,775,946.00 | 94,453,367.00 | 28,218,518.76 | 67,097,651.25 | 67,097,651.25 | 27,355,715.75 | 71.04 |
| Fuente de Financiamiento | Presupuesto Inicial de Apertura | Presupuesto Inicial Modificado | Ejecución al Semestre I | Ejecución al Semestre II | Ejecución Total | Saldo | Avance % |
| Recursos Ordinarios | 66,545,441.00 | 68,241,041.00 | 23,319,745.88 | 0.00 | 23,319,745.88 | 44,921,295.12 | 34.17 |
| Recursos Directamente Recaudados | 22,116,888.00 | 25,995,324.00 | 4,898,772.88 | 0.00 | 4,898,772.88 | 21,096,551.12 | 18.84 |
| Recursos por Operaciones Oficiales de Crédito | 0.00 | 0.00 | 0.00 | 0.00 | 0.00 | 0.00 | 0.00 |
| Donaciones y Transferencias | 0.00 | 1,865.00 | 0.00 | 0.00 | 0.00 | 1,865.00 | 0.00 |
| Recursos Determinados | 113,617.00 | 215,137.00 | 0.00 | 0.00 | 0.00 | 215,137.00 | 0.00 |
| – Canon y sobrecanon, regalías, renta de aduanas y participaciones | 113,617.00 | 215,137.00 | 0.00 | 0.00 | 0.00 | 215,137.00 | 0.00 |
| – Impuestos municipales | |||||||
| – Fondo de compensación municipal | |||||||
| – Contribuciones a fondos | |||||||
| – Participación en rentas de aduanas | |||||||
| TOTAL: | 88,775,946.00 | 94,453,367.00 | 28,218,518.76 | 0.00 | 28,218,518.76 | 66,234,848.24 | 29.88 |
| Fuente de Financiamiento | Presupuesto Inicial de Apertura | Presupuesto Inicial Modificado | Ejecución al Semestre I | Ejecución al Semestre II | Ejecución Total | Saldo | Avance % |
| Recursos Ordinarios | 56,335,940.00 | 57,853,690.00 | 23,653,528.83 | 56,269,289.34 | 56,269,289.34 | 1,584,400.66 | 97.26 |
| Recursos Directamente Recaudados | 24,116,888.00 | 27,581,891.00 | 7,124,201.71 | 15,591,832.70 | 15,591,832.70 | 11,990,058.30 | 56.53 |
| Recursos por Operaciones Oficiales de Crédito | 0.00 | 0.00 | 0.00 | 0.00 | 0.00 | 0.00 | 0.00 |
| Donaciones y Transferencias | 0.00 | 137,591.00 | 0.00 | 135,726.00 | 135,726.00 | 1,865.00 | 98.64 |
| Recursos Determinados | 100,838.00 | 137,078.00 | 0.00 | 12,812.00 | 12,812.00 | 124,266.00 | 9.35 |
| – Canon y sobrecanon, regalías, renta de aduanas y participaciones | 100,838.00 | 137,078.00 | 0.00 | 12,812.00 | 12,812.00 | 124,266.00 | 9.35 |
| – Impuestos municipales | |||||||
| – Fondo de compensación municipal | |||||||
| – Contribuciones a fondos | |||||||
| – Participación en rentas de aduanas | |||||||
| TOTAL: | 80,553,666.00 | 85,710,250.00 | 30,777,730.54 | 72,009,660.04 | 72,009,660.04 | 13,700,589.96 | 84.02 |
| Fuente de Financiamiento | Presupuesto Inicial de Apertura | Presupuesto Inicial Modificado | Ejecución al Semestre I | Ejecución al Semestre II | Ejecución Total | Saldo | Avance % |
| Recursos Ordinarios | 56,335,940.00 | 57,853,690.00 | 23,653,528.83 | 0.00 | 23,653,528.83 | 34,200,161.17 | 40.89 |
| Recursos Directamente Recaudados | 24,116,888.00 | 27,581,891.00 | 7,124,201.71 | 0.00 | 7,124,201.71 | 20,457,689.29 | 25.83 |
| Recursos por Operaciones Oficiales de Crédito | 0.00 | 0.00 | 0.00 | 0.00 | 0.00 | 0.00 | 0.00 |
| Donaciones y Transferencias | 0.00 | 137,591.00 | 0.00 | 0.00 | 0.00 | 137,591.00 | 0.00 |
| Recursos Determinados | 100,838.00 | 137,078.00 | 0.00 | 0.00 | 0.00 | 137,078.00 | 0.00 |
| – Canon y sobrecanon, regalías, renta de aduanas y participaciones | 100,838.00 | 137,078.00 | 0.00 | 0.00 | 0.00 | 137,078.00 | 0.00 |
| – Impuestos municipales | |||||||
| – Fondo de compensación municipal | |||||||
| – Contribuciones a fondos | |||||||
| – Participación en rentas de aduanas | |||||||
| TOTAL: | 80,553,666.00 | 85,710,250.00 | 30,777,730.54 | 0.00 | 30,777,730.54 | 54,932,519.46 | 35.91 |
| Fuente de Financiamiento | Presupuesto Inicial de Apertura | Presupuesto Inicial Modificado | Ejecución al Semestre I | Ejecución al Semestre II | Ejecución Total | Saldo | Avance % |
| Recursos Ordinarios | 56,428,982.00 | 56,502,482.00 | 21,815,726.66 | 53,874,393.28 | 53,874,393.28 | 2,628,088.72 | 95.35 |
| Recursos Directamente Recaudados | 24,820,320.00 | 29,945,293.00 | 9,314,738.34 | 20,020,591.65 | 20,020,591.65 | 9,924,701.35 | 66.86 |
| Recursos por Operaciones Oficiales de Crédito | 0.00 | 0.00 | 0.00 | 0.00 | 0.00 | 0.00 | 0.00 |
| Donaciones y Transferencias | 0.00 | 135,731.00 | 0.00 | 0.00 | 0.00 | 135,731.00 | 0.00 |
| Recursos Determinados | 10,004.00 | 36,240.00 | 0.00 | 0.00 | 0.00 | 36,240.00 | 0.00 |
| – Canon y sobrecanon, regalías, renta de aduanas y participaciones | 10,004.00 | 36,240.00 | 0.00 | 0.00 | 0.00 | 36,240.00 | 0.00 |
| – Impuestos municipales | |||||||
| – Fondo de compensación municipal | |||||||
| – Contribuciones a fondos | |||||||
| – Participación en rentas de aduanas | |||||||
| TOTAL: | 81,259,306.00 | 86,619,746.00 | 31,130,465.00 | 73,894,984.93 | 73,894,984.93 | 12,724,761.07 | 85.31 |
| Fuente de Financiamiento | Presupuesto Inicial de Apertura | Presupuesto Inicial Modificado | Ejecución al Semestre I | Ejecución al Semestre II | Ejecución Total | Saldo | Avance % |
| Recursos Ordinarios | 56,428,982.00 | 56,502,482.00 | 21,815,726.66 | 0.00 | 21,815,726.66 | 34,686,755.34 | 38.61 |
| Recursos Directamente Recaudados | 24,820,320.00 | 29,945,293.00 | 9,314,738.34 | 0.00 | 9,314,738.34 | 20,630,554.66 | 31.11 |
| Recursos por Operaciones Oficiales de Crédito | 0.00 | 0.00 | 0.00 | 0.00 | 0.00 | 0.00 | 0.00 |
| Donaciones y Transferencias | 0.00 | 135,731.00 | 0.00 | 0.00 | 0.00 | 135,731.00 | 0.00 |
| Recursos Determinados | 10,004.00 | 36,240.00 | 0.00 | 0.00 | 0.00 | 36,240.00 | 0.00 |
| – Canon y sobrecanon, regalías, renta de aduanas y participaciones | 10,004.00 | 36,240.00 | 0.00 | 0.00 | 0.00 | 36,240.00 | 0.00 |
| – Impuestos municipales | |||||||
| – Fondo de compensación municipal | |||||||
| – Contribuciones a fondos | |||||||
| – Participación en rentas de aduanas | |||||||
| TOTAL: | 81,259,306.00 | 86,619,746.00 | 31,130,465.00 | 0.00 | 31,130,465.00 | 55,489,281.00 | 35.94 |
| Fuente de Financiamiento | Presupuesto Inicial de Apertura | Presupuesto Inicial Modificado | Ejecución al Semestre I | Ejecución al Semestre II | Ejecución Total | Saldo | Avance % |
| Recursos Ordinarios | 46,152,000.00 | 48,902,646.00 | 21,052,917.92 | 44,240,850.60 | 44,240,850.60 | 4,661,795.40 | 90.47 |
| Recursos Directamente Recaudados | 16,070,380.00 | 30,401,612.00 | 6,277,975.68 | 21,0 04,103.89 | 21,004,103.89 | 9,397,508.11 | 69.09 |
| Recursos por Operaciones Oficiales de Crédito | 0.00 | 0.00 | 0.00 | 0.00 | 0.00 | 0.00 | 0.00 |
| Donaciones y Transferencias | 0.00 | 148,172.00 | 0.00 | 120,588.00 | 120,588.00 | 27,584.00 | 81.38 |
| Recursos Determinados | 11,998.00 | 25,347.00 | 0.00 | 0.00 | 0.00 | 25,347.00 | 0.00 |
| – Canon y sobrecanon, regalías, renta de aduanas y participaciones | 11,998.00 | 25,347.00 | 0.00 | 0.00 | 0.00 | 25,347.00 | 0.00 |
| – Impuestos municipales | |||||||
| – Fondo de compensación municipal | |||||||
| – Contribuciones a fondos | |||||||
| – Participación en rentas de aduanas | |||||||
| TOTAL: | 62,234,378.00 | 79,477,777.00 | 27,330,893.60 | 65,365,542.49 | 65,365,542.49 | 14,112,234.51 | 82.24 |
| Fuente de Financiamiento | Presupuesto Inicial de Apertura | Presupuesto Inicial Modificado | Ejecución al Semestre I | Ejecución al Semestre II | Ejecución Total | Saldo | Avance % |
| Recursos Ordinarios | 46,152,000.00 | 48,902,646.00 | 21,052,917.92 | 0.00 | 21,052,917.92 | 27,849,728.08 | 43.05 |
| Recursos Directamente Recaudados | 16,070,380.00 | 30,401,612.00 | 6,277,975.68 | 0.00 | 6,277,975.68 | 24,123,636.32 | 20.65 |
| Recursos por Operaciones Oficiales de Crédito | 0.00 | 0.00 | 0.00 | 0.00 | 0.00 | 0.00 | 0.00 |
| Donaciones y Transferencias | 0.00 | 148,172.00 | 0.00 | 0.00 | 0.00 | 148,172.00 | 0.00 |
| Recursos Determinados | 11,998.00 | 25,347.00 | 0.00 | 0.00 | 0.00 | 25,347.00 | 0.00 |
| – Canon y sobrecanon, regalías, renta de aduanas y participaciones | 11,998.00 | 25,347.00 | 0.00 | 0.00 | 0.00 | 25,347.00 | 0.00 |
| – Impuestos municipales | |||||||
| – Fondo de compensación municipal | |||||||
| – Contribuciones a fondos | |||||||
| – Participación en rentas de aduanas | |||||||
| TOTAL: | 62,234,378.00 | 79,477,777.00 | 27,330,893.60 | 0.00 | 27,330,893.60 | 52,146,883.40 | 34.39 |
| Fuente de Financiamiento | Calendario Total Anual Autorizado | Calendario Total Anual Autorizado + Ampliaciones | Ejecución al Semestre I | Ejecución al Semestre II | Ejecución Total | Saldo | Avance % |
| Recursos Ordinarios | 45,083,260.00 | 48,155,343.00 | 21,987,310.42 | 46,140,122.16 | 46,140,122.16 | 2,015,220.84 | 95.82 |
| Recursos Directamente Recaudados | 15,440,787.00 | 21,237,931.00 | 6,422,351.80 | 14,750,398.28 | 14,750,398.28 | 6,487,532.72 | 69.45 |
| Recursos por Operaciones Oficiales de Crédito | 0.00 | 0.00 | 0.00 | 0.00 | 0.00 | 0.00 | 0.00 |
| Donaciones y Transferencias | 233,243.00 | 360,727.00 | 0.00 | 253,454.00 | 253,454.00 | 107,273.00 | 70.26 |
| Recursos Determinados | 17,561.00 | 24,676.00 | 0.00 | 7,115.00 | 7,115.00 | 17,561.00 | 28.83 |
| – Canon y sobrecanon, regalías, renta de aduanas y participaciones | 17,561.00 | 24,676.00 | 0.00 | 7,115.00 | 7,115.00 | 17,561.00 | 28.83 |
| – Impuestos municipales | |||||||
| – Fondo de compensación municipal | |||||||
| – Contribuciones a fondos | |||||||
| – Participación en rentas de aduanas | |||||||
| TOTAL: | 60,774,851.00 | 69,778,677.00 | 28,409,662.22 | 61,151,089.44 | 61,151,089.44 | 8,627,587.56 | 87.64 |
| Fuente de Financiamiento | Calendario Total I Semestre Autorizado | Calendario Total I Semestre Autorizado + Ampliaciones | Ejecución al Semestre I | Ejecución al Semestre II | Ejecución Total | Saldo | Avance % |
| Recursos Ordinarios | 21,994,089.00 | 22,089,909.00 | 21,987,310.42 | 0.00 | 21,987,310.42 | 102,598.58 | 99.54 |
| Recursos Directamente Recaudados | 6,760,528.00 | 7,790,646.00 | 6,422,351.80 | 0.00 | 6,422,351.80 | 1,368,294.20 | 82.44 |
| Recursos por Operaciones Oficiales de Crédito | 0.00 | 0.00 | 0.00 | 0.00 | 0.00 | 0.00 | 0.00 |
| Donaciones y Transferencias | 0.00 | 0.00 | 0.00 | 0.00 | 0.00 | 0.00 | 0.00 |
| Recursos Determinados | 0.00 | 0.00 | 0.00 | 0.00 | 0.00 | 0.00 | 0.00 |
| – Canon y sobrecanon, regalías, renta de aduanas y participaciones | 0.00 | 0.00 | 0.00 | 0.00 | 0.00 | 0.00 | 0.00 |
| – Impuestos municipales | |||||||
| – Fondo de compensación municipal | |||||||
| – Contribuciones a fondos | |||||||
| – Participación en rentas de aduanas | |||||||
| TOTAL: | 28,754,617.00 | 29,880,555.00 | 28,409,662.22 | 0.00 | 28,409,662.22 | 1,470,892.78 | 95.08 |
NOTA:
Para elaborar la presente información, se ha consolidado los calendarios mensuales autorizados, así como las ampliaciones otorgadas (No se contempla el PIA ni el PIM). La ejecución presupuestal es a nivel de compromiso, en vista que a esa fecha, aún no se implementaba los reportes de ejecución a nivel de devengado.